十大滚球app官网
摘要:针对球阀中液流流动情况提出了计算球阀收缩系数 μ 的简化模型及流量系数计算方法,并进行了实验分析。
关键词:球阀;收缩系数μ;流量系数;模型
1 前言
球阀由于密封性好、无滞后现象、工作压力高、对污染不敏感、制造简单、故障少,近来受到人们的青睐,广泛应用在各种液压系统中。
球阀就其性能评价指标而言,压力流量特性无疑是衡量其工作特性的一个重要指标。球阀出流流量与进出口压差关系可用下式表征:
![]()
式中:C——流量系数;Ax——阀口过流面积;△P——阀进出口压差;ρ——流体密度。
从式(1)中可以看出,在流动介质确定的情况下,Q 与 △P 的关系取决于 C 与 A。A 可由阀门结构几何特性决定。C 是一个十分复杂的量,它与液流流动状态、阀的几何结构等因素有关,它的确定大多数依赖于实验方法。目前还没有计算球阀流量系数的理论计算式和通用的经验或半经验公式,这给球阀的设计与应用带来很大不便。为了填补这方而欠缺,从液流流动机理出发,提出球阀流量系数计算简化模型就显得尤为重要。
2 流量系数的确定
流量系数的大小实际上反映了孔口出流时阻力的损失及过流断而的减少对出流流量的综合影响,可用下式表示:
![]()
式中:φ——流体出流流速系数;μ——收缩系数。
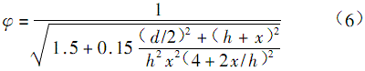
(1) 流速系数的计算
根据文献《流体力学及流体机械》,可得下式:
![]()
式中:ξ——局部阻力系数

图 1 球阀结构
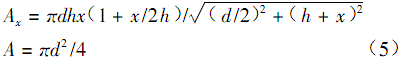
对于图 1 情况,根据文献《机械设计手册(第四卷)》:
![]()
式中:A——入口截面积
它们的计算公式如下:

式中:d——阀座孔直径;x——阀芯升高量;R——钢球直径。
因此,流速系数可按下式计算:

(2) 收缩系数 μ 的计算简化模型
如图 1 所示,液流经过阀座与钢球之间间隙流出,由附面层理论可知,出流在钢球迎面前半球面不可能发生分离现象,而在阀座 A 点有可能出现分离或流线改变方向引起过流断面收缩。从这个机理出发,可把流经阀口缝隙的流动分成两部分,一部分沿过道壁流动,另一部分沿钢球壁而流动。沿过道壁而流动的流体,由于壁面形状改变出现尖角,引起流线方向的突然改变,在阀座边缘侧出现流体过流断面的收缩,而沿钢球一侧的流动不会出现收缩现象。因此流经钢球与阀座之间的流动实际上是外侧收缩内侧不收缩的环形流。由于环形缝隙流缝隙相对很小,根据缝隙流理论,它可以展开成两平板间缝隙流。再由于其存在外侧面收缩现象,因此可以简化成如图 2 所示的无底坎闸孔出流流动模型,对应尺寸如图 2。

图 2 球阀内液流简化模型
其环形流外侧收缩系数可按闸孔出流情况计算选取。
闸口流收缩系数 μ 可用儒可夫斯基理论分析方法求值,如表 1 所示。
因此流量系数 C 可根据式(5)与表 1 计算。
| 2x/d | 0.10 | 0.20 | 0.30 | 0.35 | 0.40 | 0.45 | 0.50 | 0.55 | 0.60 | 0.65 | 0.70 | 0.75 |
|---|---|---|---|---|---|---|---|---|---|---|---|---|
| μ | 0.615 | 0.620 | 0.625 | 0.628 | 0.630 | 0.638 | 0.645 | 0.650 | 0.660 | 0.675 | 0.690 | 0.705 |
3 实验研究
严格地讲,球阀流量系数 C 与雷诺数 Re(Re=Q/4dv)有密切关系,C 随 Re 的变化可以写成如下关系式:
![]()
式中:K、n 为系数、指数,与阀结构形状等有关。
研究表明,Re 存在临界值 Rec,并且 Re 随比值 d/(2R) 增大而变大。当 Re 超过 Rec 后,C 不随 Re 变化,而趋于常数。一般来讲 Rec 往往很小,而球阀在正常工作时 Re 远大于 Rec。因此可以认为在工作状态下,C 是常数。
为了验证模型的有效性及 Rec 与阀的几何尺寸关系,我们对不同几何参数的球阀进行了实验研究得出,在 Re 大于 Rec 后,模型的计算结果与实验结果吻合良好。
4 结论
(1) 球阀流量系数在很小范围内随 Re 变化,Re 存在临界值 Rec,当 Re > Rec时,C 趋于常数。
(2) 在 Re > Rec 时,木文模型计算结果与实验值吻合良好,因此可用该模型计算球阀流量系数。