十大滚球app官网
摘要:介绍圆盘双金属片式蒸汽疏水阀的结构和工作原理,分析了阀芯的受力,主要对双金属片的力的公式进行推导,针对不同的设计工况,寻求较合理的双金属片组合片数,为产品设计提供理论依据。
关健词:圆盘;双金属片;蒸汽疏水阀
一 概述
蒸汽作为重要的二次能源,在众多工业领域得到广泛应用。蒸汽系统消耗煤占产量的 1/3,已成为能源消耗的重要领域。蒸汽疏水阀则是保障蒸汽系统正常工作、凝结水回收利用、节约能源的重要自力式控制类阀门。常见的蒸汽疏水阀根据原理可分为机械型、热静力型和热动力型。热静力型疏水阀实质上是一种自力式温度控制阀,可以通过调节排放一定的过冷和过热度的凝结水与蒸汽,节能效果显著,在不同场合得到应用。
双金属型疏水阀是上世纪五十年代中期兴起的,目前仍然是世界范围内热静力型疏水阀的最主要产品。它是利用两种温度膨胀系数相差很大的双金属组件作为阀门的热动力元件,双金属组件根据蒸汽系统温度和压力的不同,可在不同介质温度中产生不同的变形并产生推力(或拉力),控制阀芯的开、闭,起到阻汽排水作用。利用该基本原理,不同厂家开发了形形色色的双金属片组件,常见的有圆盘型、悬臂梁型、简支梁型、星型等。本文主要探讨了圆盘型双金属片式蒸汽疏水阀双金属片组件针对不同工况的设计问题,以期为双金属片式蒸汽疏水阀的设计与开发提供理论依据和参考。
二 结构与工作原理
以 TB 可调温型为例说明:圆盘双金属片式蒸汽疏水阀结构主要由阀体、双金属片组件、调节组件、SCCV 组件组成。常温下,双金属片呈平展状态,阀门开启,低温凝结水和空气迅速排放出去,如图 1 所示。当阀内温度升高时,阀芯在双金属片变形力的作用下向下移动,排水量减小。阀内温度更高时,双金属片变形加剧,迫使阀芯下移关闭,如图 1(右)所示。阀内温度降低后,双金属片变为平展状态,在弹力的作用下,阀芯开启排水,回到常温状态。

图 1 一种圆盘双金属式疏水阀的结构
调节组件可以通过旋转调节螺母来调节双金属片组件的初始位移,调节排水温度。
三 双金属组件热动力元件受力分析
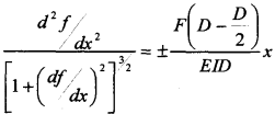
2.1 建立热推力 F 与挠度 f 的数学模型
首先假设:(1)把双金属片看成一刚性简支梁;(2)忽略变形对其剪力的影响(则用中性层曲率表示的弯曲变形公式也可用于一般非纯弯曲)。

图 2
则如图 2 所示双金属片产生了一定的弯曲变形,设中心处垂直方向上的变形量为 f,任一点 x 处的弯矩与挠度的关系为:

式中:
D——双金属片内径(m);
E——双金属片弹性模量(Pa);
l——双金属片截面的极惯性钜(m4);
F——一片双金属片产生的热推力(N);
f——双金属片中心处垂直方向上的变形量(m);
x——双金属片上任一点到其边缘的距离(m)。
由于 df/dx 的值远小于 1,略去后积分并令:
![]()
由于本研究的是如图 3 所示的环形双金属片,则:
![]()

图 3
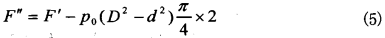
2.2 计算热推力
又有关系式:

则:一组金属片的热推力为:
![]()
除去凝结水作用在金属片上的压力后的热推力为:
![]()
则:n 组金属片的热推力:

式中:
P0——进口压力(Pa);
k——比弯曲(℃-1);
T——双金属片变形后的温度(℃);
T0——双金属片开始变形时的温度(℃);
n——双金属片组的个数。
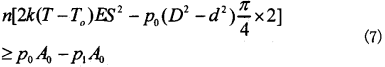
2.3 双金属片导阀所需动作平衡力
闭阀后,阀内部力的平衡方程式如下:
F1≥F2-F3
即:

式中:
F2——阀瓣关闭后其阀孔前的力(N);
F3——阀瓣关闭后其阀孔后的力(N);
n——双金属片组的个数;
P1——阀瓣关闭后其阀后压力(Pa);
A0——阀座孔截面积(m2)。
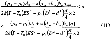
2.4 密封比压 q 的选择
密封比压的计算:

式中:
QMZ——阀座密封面上的总作用力(N);
dm——阀座密封面内径(m);
bm——阀座密封面宽度(m);
q——密封比压(Pa);
q——许用密封比压(Pa)。
2.5 双金属片组片数 n 的确定
结合(7)、(8)、(9)和(10)式,得:

四 结论
当温差、热推力不变时,可以通过改变双金属片的几何参数 D、d、S 或者在双金属片的形状确定后通过选用不同材料来达到不同的设计对单片双金属片的要求。当所需平衡动作力较大时,通过叠加双金属片来实现。
本文的推导与论述,以期为圆盘型双金属型疏水阀关键部件——双金属组件设计提供一定的依据,以及给其它型式双金属疏水阀的开发提供参考。